To determine the cut-off point for the London Chest Activity of Daily Living scale in order to better discriminate functional status. Secondarily, to determine which of the scores (total or %total) is better associated with clinical outcomes of a pulmonary rehabilitation program.
MethodsSixty-one patients with chronic obstructive pulmonary disease performed the following tests: spirometry; Chronic Obstructive Pulmonary Disease Assessment Test; Saint George's Respiratory Questionnaire; modified Medical Research Council, the body-mass index, airflow obstruction, dyspnea, and exercise capacity index; six-minute walk test; physical activity in daily life assessment and London Chest Activity of Daily Living scale. Thirty-eight patients were evaluated pre- and post-pulmonary rehabilitation . The cut-off point was determined using the receiver operating characteristic curve with six-minute walk test (cut-off point: 82%pred), modified Medical Research Council (cut-off point: 2), level of physical (in)activity (cut-off point: 80min per day in physical activity ≥3 metabolic equivalent of task) and presence/absence of severe physical inactivity (cut-off point: 4580 steps per day) as anchors.
ResultsA cut-off point found for all anchors was 28%: modified Medical Research Council [sensitivity=83%; specificity=72%; area under the curve=0.80]; level of physical (in)activity [sensitivity=65%; specificity=59%; area under the curve=0.67] and classification of severe physical inactivity [sensitivity=70%; specificity=62%; area under the curve=0.70]. The patients who scored ≤28% in %total score of London Chest Activity of Daily Living had lower modified Medical Research Council , Chronic Obstructive Pulmonary Disease Assessment Test, Saint George's Respiratory Questionnaire, body-mass index, airflow obstruction, dyspnea and exercise capacity index and sitting time than who scored >28%, and higher forced expiratory volume in the first second, time in physical activity ≥3 metabolic equivalent of task, steps per day and six-minute walk distance. The %total score of London Chest Activity of Daily Living correlated better with clinical outcomes than the total score.
ConclusionsThe cut-off point of 28% is sensitive and specific to distinguish the functional status in patients with chronic obstructive pulmonary disease. The %total score of the London Chest Activity of Daily Living reflects better outcomes of chronic obstructive pulmonary disease when compared to total score.
In patients with chronic obstructive pulmonary disease (COPD), the impaired functional status is related to the increased risk of exacerbations, hospitalizations and death.1,2 Improving the functional status is one of the main objectives of Pulmonary Rehabilitation Programs (PRP) and, therefore, its evaluation is essential.3 It is recommended the choose of instruments with well-established measurement properties4 and which have interpretability criteria, as the cut-off point that discriminates patients with better or worse outcome.4–6 Similarly, the easy applicability and low cost are important features to be considered when choosing an instrument for use in clinical practice, which can be obtained by using questionnaires and scales.4,7
The London Chest Activity of Daily Living scale (LCADL) is valid and reliable to assess the functional limitation in patients with COPD due to dyspnea,8,9 as well as being responsive to changes with PRP.10 The scale has four domains distributed into 15 items with each item scored from 0 to 5, and higher scores mean greater functional limitation. From the summation of the scores, a total score (LCADLtotal) is obtained, and the larger the score is, the greater the patient's functional limitation.11 However, the items with a “0” score (i.e. activities that the patients have never performed because they never had to do the activity or consider it irrelevant) can reduce LCADLtotal, overestimating their functional status.8 The percentage of the total score (LCADL%total) was created to establish a more reliable and sensitive measure, disregarding the activities with score “0”.8 Although previous studies have shown that LCADL%total correlated better than LCADLtotal with body-mass index, airflow obstruction dyspnea and exercise capacity index (BODE), forced expiratory volume in the first second, six-minute walk test (6MWT), modified Medical Research Council (mMRC) scale and Glittre Activity of Daily Living-test,8,11,12 it is not known whether this association also occurs with other important outcomes, such as health status, health-related quality of life and level of physical activity in daily life (PADL).
Simon et al.12 proposed a cut-off point of 50% for LCADL using the BODE index as the anchor. However, although the BODE includes instruments that evaluate constructs related to functional status, this index raises the risk of death. Therefore, there is still no cut-off point for LCADL%total capable of discriminating functional status of patients with COPD. Also, only the LCADLtotal provides minimal detectable change.13 However, the interpretation of improvement of functional status post-PRP using LCADLtotal may not be reliable, but no papers have been found to confirm it.
Therefore, the study's primary objective was to determine the cut-off point for LCADL%total in order to better discriminate functional status. Second, to determine which of the scores (total or %total) was more closely associated with lung function, dyspnea, health-related quality of life, health status, functional status, and PADL level, as well as better reflecting the change in functional status and other outcomes in COPD; and third, to analyze the agreement between LCADLtotal and LCADL%total in the interpretation of PRP effects on the functional status of patients with COPD.
MethodsThis study was cross-sectional, approved by the Human Research Ethics Committee of the Universidade do Estado de Santa Catarina (UDESC), Florianópolis, Santa Catarina, Brazil (CAAE: 80831117.5.0000.0118). Patients with COPD, referred to the Center for Assistance, Teaching and Research in Pulmonary Rehabilitation (NuReab), with clinical diagnosis of COPD and the Global Initiative for Chronic Obstructive Lung Disease classification II-IV1; ages 40–80 years; with clinical stability in the last month before the initiation of the protocol; and those with optimized medication participated in the study. The exclusion criteria were: exacerbation of COPD during the protocol; associated disabling diseases and other respiratory conditions; hospitalization in the 12 weeks before the initiation of the protocol; participation in PRP over the past six months; and active smoking or stopped for less than six months prior to this study. A subgroup who completed the PRP was included in the analysis of the improvement in functional status interpretation. The exclusion criteria for this analysis were: conditions other than COPD that might compromise the physical training progression; interruption of PRP for any reason; and severe exacerbation of COPD. All patients signed a consent form.
The evaluation protocol was composed of four days. In the first day, spirometry was performed and the COPD Assessment Test, Saint George's Respiratory Questionnaire, mMRC and LCADL were completed. On the second day, the 6MWT was performed and on the third and fourth day, the PADL was monitored.
The EasyOne portable spirometer (NDD Medical Technologies®, Switzerland) was used for spirometry, with calibration checked before each evaluation. The American Throracic Society/European Respiratory Society14 recommendations and the reference equations for the Brazilian population were used.15
Health status was assessed using the COPD Assessment Test. For the analysis, the total score was considered and the higher the score, the greater the impact of COPD on the patient's health status.16 To evaluate the quality of life-related to respiratory disease, Saint George's Respiratory Questionnaire was used.17 The total score and the score in each domain were considered for the analyses and the higher the score, the worse the quality of life.17 The mMRC was applied to evaluate the dyspnea on exertion and the higher the score, the worse the dyspnea . Patients were divided into two groups: mMRC<2 and mMRC≥2.1
Two 6MWT were performed on the same day as recommended,18 with a minimum interval of 30min between tests. The best values for the distance in meters and percentage of predicted (%pred)19 were considered for the analyses. Patients were categorized as abnormal (<82 %pred) and normal (≥82 %pred) functional capacity.20
The patients used a triaxial accelerometer (DynaPort MiniMod, McRoberts BV, The Netherlands) by 12h of two consecutive days, starting after awakening.21 The mean of two days was used for analysis. The time spent in PADL<1.5 METs22≥8.5h/day23 was considered sedentary. The level of physical (in)activity was classified based on an 80min/day cut-off point in PADL ≥3 METs.24 For the classification of severe physical inactivity, the number of steps per day (<4580 steps/day)25 was considered. The data was read and processed using the MiRA2 software (McRoberts BV, The Netherlands).
The BODE index was calculated to identify the risk of death.26
London Chest Activity of Daily Living scale (LCADL)The LCADL evaluates the limitation to perform activities of daily living by dyspnea8,9 and looks at four domains: self-care, domestic, physical and leisure. It is composed of 15 items, which are scored by the patient as follows: 0 (I do not perform this activity because I never had to do it or it is irrelevant), 1 (I do not feel any breathless when performing this activity), 2 (I feel moderate breathless when performing this activity), 3 (I feel a lot of breathless in doing this activity), 4 (I cannot perform this activity due to breathless and I have no one who can do the activity for me) or 5 (I cannot perform this activity anymore and I need someone to do it for me or help me because of breathless). The LCADLtotal and LCADL%total27 were used for the analyses.
Pulmonary Rehabilitation Program (PRP)A subgroup of patients participated in a PRP of 24 sessions based on physical training and education, three times a week, as recommended by American Thoracic Society/European Respiratory Society.3 The program included continuous aerobic treadmill training (30min with intensity determined by the modified Borg scale28 between 4 and 6) and localized training for upper limbs using free weights or elastic bands (two sets, lasting 2min of each modified diagonal of the proprioceptive neuromuscular facilitation method) and lower limbs (quadriceps and triceps sural) using free weights and/or the extensor chair (2 sets of 10 repetitions) and global stretch training (30s for each muscle group). Immediately post-PRP, the patients were reassessed using the COPD Assessment Test, the Saint George's Respiratory Questionnaire, the mMRC, the 6MWT, the PADL and the LCADL.
Statistical analysisThe sample size was calculated using the MedCalc software 17.1 and an area under the curve of 0.705 was expected. With a bidirectional alpha of 0.05 and 80% power, a sample size of 60 patients was estimated.
The SPSS Statistics 20.0 software was used for data processing. A significance level of 5% was adopted. The Shapiro–Wilk test was used to analyze the data distribution. The Spearman correlation coefficient was adopted to verify if there was any correlation of LCADLtotal and LCADL%total with other variables. The correlation coefficient was classified as: weak (r≥0.3), moderate (r≥0.50), strong (r≥0.70) and perfect (r=1).29 Also, patients were compared for LCADLtotal and LCADL%total in pre-PRP, based on the following values for 6MWT (≥82 and <82 %pred),20 mMRC (<2 and ≥2), physical (in)activity (≥80 and <80min/day in PADL ≥3 METs)24 and severe physical inactivity (≥4580 and <4580 steps/day)25 using the Mann–Whitney U test.
Determination of a cut-off point for LCADLThe variables related to functional status were used as anchors to determine the cut-off point for LCADL%total, which achieved the following criteria: (1) correlation ≥0.3 with LCADL%total; and (2) classifications capable of distinguishing patients in relation to LCADL%total. The most sensitive and specific cut-off point in the LCADL%total that discriminated the patients functional status was determined using the receiver operating characteristic curve5 with the following four anchors: 6MWT, mMRC, level of physical (in)activity and presence/absence of severe physical inactivity. The area under the curve was calculated for each anchor. To verify whether these classifications were associated with the classification based on the cut-off point found for the LCADL%total, the Chi-square was used. The associations strength was demonstrated by Cramer's V coefficient. Considering the cut-off point found in the receiver operating characteristic curve, the patients were classified into two groups and compared for the following variables: PADL, 6MWT, mMRC, Saint George's Respiratory Questionnaire, COPD Assessment Test and BODE, using the Mann–Whitney U test.
Interpretation of change in functional status post-PRPThe Wilcoxon test was used to compare LCADLtotal and LCADL%total between pre-PRP and post-PRP moments. The patients were classified according the change in functional status, using LCADLtotal and LCADL%total: without changes (post-PRP−pre-PRP=0), worsening (post-PRP>pre-PRP) and improvement (post-PRP<pre-PRP). The agreement between LCADLtotal and LCADL%total for change in functional status was tested using Kappa agreement analysis and interpreted as previously described.30 Also, a qualitative and descriptive analysis of changes in LCADLtotal and LCADL%total post-PRP was performed.
ResultsThere were 66 patients potentially eligible. Five were excluded due to COPD exacerbation during the protocol. Thus, 61 patients (47 men) completed the study. Ten patients presented moderate impairment of pulmonary function, 28 severe and 23 very severe impairment. According to the BODE classification, 22 patients were classified in the quartile I, 22 in the quartile II, 12 in the quartile III and five in the quartile IV. The sample characteristics are described in Table 1.
Anthropometric characteristics, pulmonary function, functional status, severity of dyspnea, health status, quality of life and physical activities in daily life of the sample.
| Variables | Mean±SD (n=61) | LCADL≤28%Mean±SD (n=25) | LCADL>28%Mean±SD (n=36) | p-value |
|---|---|---|---|---|
| Age (years) | 65.5±8.76 | 66.3±8.93 | 65.0±8.72 | 0.70 |
| Body weight (kg) | 72.7±15.1 | 72.2±14.2 | 73.1±15.9 | 0.85 |
| Heigth (m) | 1.67±0.09 | 1.68±0.09 | 1.66±0.09 | 0.59 |
| BMI (kg/m2) | 26.0±4.80 | 25.4±4.32 | 26.5±5.12 | 0.45 |
| FEV1/FVC | 0.44±0.09 | 0.47±0.09 | 0.41±0.09 | 0.01 |
| FEV1 (L) | 1.06±0.44 | 1.26±0.37 | 0.93±0.44 | 0.001 |
| FEV1 (%pred) | 34.9±13.3 | 40.3±11.5 | 31.2±13.5 | 0.004 |
| FVC (L) | 2.39±0.77 | 2.63±0.76 | 2.22±0.74 | 0.02 |
| FVC (%pred) | 62.0±17.0 | 66.9±15.4 | 58.5±17.4 | 0.06 |
| 6MWT (m) | 430±96.3 | 467±91.1 | 404±92.2 | 0.01 |
| 6MWT (%pred) | 74.7±16.1 | 80.2±14.6 | 70.9±16.2 | 0.04 |
| mMRCa | 1 [2] | 1 [0] | 2 [2] | <0.001 |
| CAT (total) | 17.3±8.06 | 11.0±5.45 | 21.6±6.60 | <0.001 |
| SGRQsymptoms | 39.4±22.4 | 25.5±16.8 | 49.1±20.9 | <0.001 |
| SGRQactivity | 66.5±21.0 | 48.5±14.5 | 79.0±14.8 | <0.001 |
| SGRQimpact | 38.4±21.3 | 21.0±12.3 | 50.5±17.5 | <0.001 |
| SGRQtotal | 47.2±19.6 | 30.1±10.6 | 59.0±15.3 | <0.001 |
| BODE index (score) | 3.54±1.87 | 2.64±1.25 | 4.17±1.98 | 0.001 |
| Time sitting (min) | 383±104 | 351±101 | 406±101 | 0.045 |
| Time lying (min) | 105±105 | 115±119 | 97.7±94.8 | 0.69 |
| Time standing (min) | 140±54.9 | 144±64.5 | 137±48.0 | 0.94 |
| Time walking (min) | 68.5±38.2 | 71.1±34.8 | 66.7±40.8 | 0.36 |
| Steps | 5273±2726 | 6236±2771 | 4605±2521 | 0.02 |
| Time in activities <1.5 MET (min) | 583±68.4 | 568±67.3 | 593±68.2 | 0.15 |
| Time in activities ≥3 METs (min) | 84.1±41.2 | 95.1±40.7 | 76.4±40.3 | 0.046 |
SD, standard deviation; LCADLtotal, total score ofLondon Chest Activity of Daily Living; LCADL%total, percentage total score of London Chest Activity of Daily Living; kg, kilograms; m, meters; BMI, body mass index; FEV1, forced expiratory volume in the firstsecond; L, liters; %pred, percentage of predicted; FVC, forced vital capacity; 6MWT, six-minute walk test; mMRC, modified Medical Research Council scale; CAT, COPD Assessment Test; SGRQ, Saint George's Respiratory Questionnaire; min, minute; MET, metabolic equivalent of tasks.
Forty-four patients reported a “0” score for at least one of the LCADL items. The LCADL%total had higher correlation coefficients than LCADLtotal for the most of the variables tested. Also, only the LCADL%total correlated with the PADL level variables (Table 2).
Correlations between LCADLtotal and LCADL%total and pulmonary function, health status, quality of life, dyspnea, functional status, physical activities in daily life and mortality index.
| Variables | LCADLtotal | LCADL%total | ||
|---|---|---|---|---|
| r | p-value | r | p-value | |
| FEV1/FVC | −0.28 | 0.03 | −0.43 | 0.001 |
| FEV1 (L) | −0.44 | <0.001 | −0.52 | <0.001 |
| FEV1 (%pred) | −0.32 | 0.01 | −0.49 | <0.001 |
| FVC (L) | −0.35 | 0.005 | −0.35 | 0.006 |
| FVC (%pred) | −0.20 | 0.13 | −0.30 | 0.02 |
| CAT (total) | 0.66 | <0.001 | 0.77 | <0.001 |
| SGRQsymptoms | 0.56 | <0.001 | 0.62 | <0.001 |
| SGRQactivity | 0.68 | <0.001 | 0.84 | <0.001 |
| SGRQimpact | 0.62 | <0.001 | 0.79 | <0.001 |
| SGRQtotal | 0.68 | <0.001 | 0.85 | <0.001 |
| mMRC | 0.49 | <0.001 | 0.62 | <0.001 |
| 6MWT (m) | −0.31 | 0.01 | −0.43 | 0.001 |
| 6MWT (%pred) | −0.24 | 0.06 | −0.38 | 0.002 |
| Time sitting (min) | 0.18 | 0.16 | 0.32 | 0.01 |
| Time lying (min) | −0.01 | 0.95 | −0.06 | 0.66 |
| Time standing (min) | 0.01 | 0.98 | −0.01 | 0.98 |
| Time walking (min) | −0.12 | 0.35 | −0.29 | 0.02 |
| Steps | −0.25 | 0.05 | −0.39 | 0.002 |
| Time in activities <1.5 MET (min) | 0.06 | 0.62 | 0.26 | 0.04 |
| Time in activities ≥3 METs (min) | −0.21 | 0.10 | −0.36 | 0.004 |
| BODE index (score) | 0.37 | 0.004 | 0.57 | <0.001 |
LCADLtotal, total score of London Chest Activity of Daily Living; LCADL%total, percentage total score of London Chest Activity of Daily Living; FEV1, forced expiratory volume in first second; FVC, forced vital capacity; L, liters; %pred, percentage of predicted; m, meters; CAT, COPD Assessment Test; SGRQ, Saint George's Respiratory Questionnaire; mMRC, modified Medical Research Council scale; 6MWT, six-minute walk test; min, minute; MET, metabolic equivalent of task.
Patients with mMRC≥2 presented higher LCADLtotal [mean difference: 9.48 (95%CI: 3.46–15.5); p=0.002] and LCADL%total [mean difference: 14.7% (95%CI: 7.67–21.8%); p<0.001] when compared to patients with mMRC<2. The LCADLtotal score did not differ between active and inactive patients [mean difference: 4.64 (95%CI: −1.29 to 10.6); p=0.26], while LCADL%total was higher for inactive patients [mean difference: 8.02% (95%CI: 0.76–15.3%); p=0.03]. Patients with severe physical inactivity presented higher LCADLtotal [mean difference: 6.46 (95%CI: 0.40–12.9), p=0.04] and LCADL%total [mean difference: 10.1% (95%CI 2.33–17.9%); p=0.007] than those without severe physical inactivity. When comparing patients with normal and abnormal functional capacity, there was no difference in LCADLtotal [mean difference: 5.77 (95%CI: −0.75 to 12.3); p=0.28] and LCADL%total [mean difference: 8.93% (95%CI: 0.96–16.9%); p=0.12] (Table 3).
Comparison of LCADL%total and LCADLtotal between groups: mMRC < and ≥ 2, 6MWT < and ≥ 82 %pred, time in activities ≥3 METs < and ≥ 80 min, and steps/day < and ≥ 4850.
| Variables | LCADL%totalMean±SD | Mean differencea(95%CI) | p-value | LCADLtotalMean±SD | Mean difference(95%CI) | p-value |
|---|---|---|---|---|---|---|
| mMRC | ||||||
| ≥2 | 43.2±16.9 | 14.7 (7.67–21.8) | <0.001 | 27.4±14.5 | 9.48 (3.46–15.5) | |
| <2 | 28.5±8.68 | 18.0±7.12 | 0.002 | |||
| 6MWT | ||||||
| ≥82%pred | 29.5±7.37 | 8.93 (0.96–16.9) | 18.6±6.48 | 5.77 (−0.75–12.3) | ||
| <82%pred | 38.4±17.0 | 0.12 | 24.37±13.8 | 0.28 | ||
| Time in activities ≥3 METs | ||||||
| ≥80min/day | 31.1±11.5 | 8.02 (0.76–15.3) | 0.03 | 19.9±9.24 | 4.64 (−1.29–10.6) | 0.26 |
| <80min/day | 39.1±16.7 | 24.5±13.9 | ||||
| Severe inactivity | ||||||
| ≥4580 steps/day | 31.1±11.6 | 10.1 (2.33–17.9) | 19.6±9.51 | 6.46 (0.40–12.9) | ||
| <4580 steps/day | 41.1±17.1 | 0.04 | 26.1±14.2 | 0.007 | ||
LCADLtotal, total score of London Chest Activity of Daily Living; LCADL%total, percentage total score of London Chest Activity of Daily Living; SD, standard deviation; CI, confidence interval; mMRC, modified Medical Research Council scale; 6MWT, six-minute walk test; %pred, percentage of predicted; MET, metabolic equivalent of tasks; min, minute.
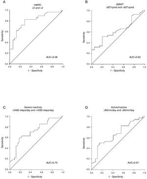
The receiver operating characteristic curve (Fig. 1) showed a cut-off point of 28% for the LCADL%total for all 4 anchors: mMRC, 6MWT, classification of severe physical inactivity and level of physical (in)activity.
Receiver operating characteristic curves for the percentage of the total score of London Chest Activity of Daily Living (LCADL%total) cut-off point to discriminate the functional status of patients with COPD. (A) Modified Medical Research Council Scale (mMRC) ≥2 and <2: cut-off point=28%; sensitivity=83%; specificity=72%; area under the curve (AUC)=0.80 (95%CI: 0.69–0.91); p<0.001. (B) Six-minute walk test (6MWT) ≥82%pred and <82%pred: cut-off point=28%; sensitivity=58%; specificity=60%; AUC=0.62 (95%CI: 0.48–0.76); p=0.13. (C) ≥4580 steps/day and <4580 steps/day: cut-off point=28%; sensitivity=70%; specificity=62%; AUC=0.70 (95%CI: 0.57–0.84); p=0.007. (D) Time ≥80min/day and <80min/day in physical activities ≥3 METs: cut-off point=28%; sensitivity=65%; specificity=59%; AUC=0.67 (95%CI: 0.53–0.80); p=0.03.
The classification of functional status according to the cut-off point found (LCADL%total ≤28% and >28%) was associated with the mMRC (<2 and ≥2, Cramer's V=0.46, p<0.001) and severe physical inactivity (≥4580 and <4580 steps, Cramer's V=0.27, p=0.03) classifications.
There was no statistically significant difference with regards to anthropometric variables between the patients who scored ≤28% and>28% in the LCADL%total. Those who scored ≤28% in LCADL%total had lower scores on mMRC, COPD Assessment Test, Saint George's Respiratory Questionnaire (total score and domains) and BODE index score when compared to patients who scored >28%. Also, they presented higher forced expiratory volume in the first second in percentage of predicted, shorter sitting time, longer time in PADL ≥3 METs, greater number of steps and walked longer distance during the 6MWT (Table 1).
Interpretation of changes in functional status post-PRPFrom 61 patients included in present study, nine presented some condition other than COPD that compromised the training progression, nine presented severe exacerbation during the PRP or the post-PRP evaluations and five did not completed the PRP because they withdrew from the program. Therefore, 38 patients (27 men; 63±9 years, body mass index: 26.1±5.31kg/m2 and forced expiratory volume in the first second: 39.1±13.1%pred) completed PRP and entered into the analyses. There was no statistically significant difference in the LCADLtotal and LCADL%total between pre-PRP and post-PRP moments [median=17 (25–75% IQR: 15–22) vs. 17 (25–75% IQR: 14–21); p=0.08 and median=28.4% (25–75% IQR: 23.9–33.7%) vs. 27.1% (25–75% IQR: 23–34.9%); p=0.18, respectively]. The changes in LCADLtotal and LCADL%total were correlated with the change in COPD Assessment Test (r=0.33; p=0.04 for both), in the impact domain (r=0.44; p=0.006 and r=0.53; p=0.001, respectively) and in the Saint George's Respiratory Questionnaire total score (r=0.42; p=0.009 and r=0.51; p=0.001, respectively). Only the change in LCADL%total correlated with the change in time in PADL<1.5MET (r=0.38; p=0.03). The changes in the other variables did not correlate with changes in LCADLtotal and LCADL%total.
There was almost perfect agreement between LCADLtotal and LCADL%total for the PRP functional effects interpretation (Kappa=0.81; p<0.001). Twenty-three patients reduced LCADLtotal and 20 patients reduced LCADL%total post-PRP. One patient who did not have changes in LCADLtota, did have increased LCADL%total. Two patients who showed reduced LCADLtotal also had increased LCADL%total while one patient who increased LCADLtotal, had reduced LCADL%total. The frequency of a “0” score being reported was different between pre- and post-PRP when there was disagreement between the LCADLtotal and LCADL%total on interpretation of changes in functional status post-PRP. Fifteen patients who had reported a “0” score for some item(s) of LCADL pre-PRP, reported a score ≥1 in them post-PRP. Also, 17 patients reported a “0” score for LCADL items post-PRP that had reported a score ≥1 pre-PRP.
DiscussionThe present study was the first to identify a cut-off point to allow the LCADL scale to be interpreted relative to impairment of functional status. The results demonstrated that the cut-off point of 28% was sensitive and specific to enable discrimination the functional status of patients with COPD. Patients with LCADL%total>28% had worse pulmonary function, dyspnea, health-related quality of life and health status, shorter time in PADL≥3 METs and number of steps, longer sitting time and higher risk of death according to the BODE index when compared to patients with LCADL%total≤28%. Based on this information, health professionals will be able to use LCADL as a tool to better target treatment strategies. Also, this cut-off point may be useful in studies that focus on assessing more severe patients.
The LCADL cut-off point for discriminating the functional status of patients with COPD was determined only for LCADL%total because the results of the present and previous studies8,11,12 showed that the “0” score items could make the scale interpretation using LCADLtotal unreliable. In this study, LCADL%total showed a stronger correlation with BODE, forced expiratory volume in the first second, 6MWT, and mMRC than LCADLtotal, similarly to previous studies8,11,12 as well as with Saint George's Respiratory Questionnaire and COPD Assessment Test. Also, the post-PRP change in the LCADL%total showed higher correlations with the change in the Saint George's Respiratory Questionnaire than LCADLtotal. Only the LCADL%total correlated with variables that reflect the PADL level, as the change in time in PADL<1.5MET. This is a very interesting result, since sedentary behavior can increase the risk of death in COPD patients23 and reducing sedentary lifestyle is a focus of PRP.3
Another finding that reinforces the LCADL%total use as opposed to LCADLtotal was that a large number of the patients presented a “0” score for some item(s) at both pre-PRP and post-PRP moments. Also, in spite of the high agreement between LCADL%total and LCADLtotal in demonstrating whether there was improvement, worsening or absence of changes in functional status post-PRP, it was noted that in many situations, a reduction in LCADLtotal could have been caused when the patient stopped performing activities that he/she did before the PRP (i.e., because he/she started to report a “0” score for items that had reported score ≥1). The opposite may also have been responsible for an increase in LCADLtotal post-PRP in some patients, which was not effectively related to worsening of functional status since the patient could perform the activities post-PRP (score ≥1) that he did not perform in pre-PRP (“0” score) and experienced dyspnea. These situations reduced the agreement between LCADLtotal and LCADL%total and could lead to a misinterpretation of the amount of improvement following the PRP, as well as confounding the interpretation of the magnitude of the interventions effect, increasing or reducing it. Thus, the LCADL%total use could solve these problems because it disregards the items scored as “0” and leads to a more reliable interpretation of results. Therefore, although LCADLtotal presented with a minimal detectable change,13 its use may significantly impair the interpretation of the PRP effects on functional status. Future studies should develop a minimal important difference for LCADL%total since this is fundamental for this instrument use in clinical practice. Because most of patients reported a “0” score for at least one of the LCADL items before PRP, it may have also reduced the scale responsiveness, since it reduced the possible items to improve post-PRP. This may explain why there was no improvement in the LCADL scores post-PRP. Besides, the subjectivity and the misinterpretation which can occur when scales are used may have interfered in this outcome.
A cut-off point for discriminating patients with worse or better outcomes is also an important interpretation criteria. The instruments used as anchors in the present study having cut-off points that allowed their well-established criteria1,24,25 and being outcomes capable of reflect the risk of death in patients with COPD.31,32 All the receiver operating characteristic curve analyses found the cut-off point of 28%, which was able to discriminate patients in the pulmonary function, dyspnea, health status, quality of life, PADL level, and risk of death. Also, an association was found between the classification of functional status by the LCADL%total cut-off point and the mMRC and severe physical inactivity classifications. However, these associations were weak probably because all of the instruments evaluated different constructs related to functional status. These outcomes are complementary to one another and are strongly associated with the prognosis of COPD.2,26,32–36 Another factor that reinforces the LCADL%total cut-off point use is that the differences between the groups presented higher values than the minimal important difference of the Saint George's Respiratory Questionnaire,37 the COPD Assessment Test,38 the 6MWT18 and the number of steps.39 Therefore, the 28% cut-off point for LCADL has clinically relevant discriminatory power.40
The lack of significance in the receiver operating characteristic curve analysis using the 6MWT as the anchor can be considered a limitation of the study. A type II error may have ocurred since the p-value was borderline. However, the sample size was based on a previous sample calculation and the cut-off point by the other anchors showed satisfactory area under the curve values, sensitivity and specificity. Some analysis may have presented low statistical power, especially for the subgroups, since a sample estimation was not conducted for this purpose.
ConclusionsIt is recommended that clinicians use the cut-off point of 28% for LCADL%total to distinguish the functional status of patients with COPD. This cut-off point is capable of differentiating patients in relation to dyspnea, health status, quality of life, PADL and potential risk of death. The LCADL%total reflects better outcomes of COPD than LCADLtotal, which could compromise the interpretation of the PRP effects on functional status.
Conflicts of interestThe authors declare no conflicts of interest.





