The use of predictive equation of muscular torque can reduce physical effort and time spent during evaluation.
ObjectivesTo establish, validate, and test the accuracy of a prediction equation to estimate the hip external rotators (HER) torque in adults and older adults by means of hip extensors (HEX) torque measurement.
MethodsEighty-three healthy adults (development set) were assessed to test the association of HEX and HER torques and to establish the prediction equation. A separate 36 adults and 15 older adults (validation sets) were assessed to test the ability of the equation to estimate HER torque. Hip isometric strength was assessed by a handheld dynamometer.
ResultsSimple linear regression analysis revealed that HEX torque was associated with HER torque (r=0.80; p<0.0001), resulting in the following prediction equation: HERtorque=−0.02+(0.58 * HEXtorque). Paired t-test revealed no difference between directly measured and predicted values of HER torque in adults (mean difference=0.02; 95% CI=−0.115, 0.072) and older adults (mean difference=0.05; 95% CI=−0.02, 0.12).
ConclusionThe HEX and HER torques were strongly correlated. The prediction equation was valid, accurate, and can be used to estimate HER muscle strength in healthy adults and older adults, requiring only the direct measurement of HEX torque.
Hip muscle weakness might compromise the performance of different activities1,2 and is related to different health conditions.3–5 The strength of the hip external rotator (HER) and extensor (HEX) muscles has been related to the dynamic control of the lower limb in weight-bearing tasks,6,7 as well as related to balance in osteopenic older women.8 Specifically, individuals with greater HER strength present reduced knee dynamic valgus9 with attenuation of anterior shear forces at the tibiofemoral joint.10,11 In addition, modifications in landing technique associated with increased HEX strength reduced peak patellar tendon force during the landing task by up to 26%.12 Therefore, weakness of these hip muscles has been associated with the development of patellofemoral pain,13,14 patellar tendinopathy,8 and knee ligamentous injuries.7 Furthermore, in older women, weakness of the HEX and HER has been associated with medial knee osteoarthritis15 and weakness of the HEX with fall events.16 Thus, HEX and HER strength are frequently assessed in clinical settings due to its relevance to performance of activities of daily living and relationship with different health conditions.
The gluteus maximus muscle is the primary contributor to hip external rotation and extension. This muscle accounts for 16% of the cross-sectional area of the hip musculature and due to the obliquity of its fibers, 71% of the force generated during maximal contraction would potentially be directed to externally rotate the hip.2 With the hip at 0° of flexion, all sections of the gluteus maximus are capable of generating external hip rotation.17 As both movements, hip extension and hip external rotation, have the same muscle as a potent primary motor, it is plausible that hip extension strength could be strongly associated with hip external rotation strength. Therefore, it might be feasible to develop a prediction equation to estimate HER muscle torque from a clinical measure of HEX muscle torque.
The evaluation of individuals with musculoskeletal disorders in clinical practice involves performing several clinical tests, including muscle strength.18 The assessment of maximum strength using a handheld dynamometer has proved to be valid and reliable.19,20 However, when performed repeatedly with the same muscle, it can cause muscle fatigue and immediate decrease in the produced force,21 compromising the individual's performance during the test and the validity of the measurement. In this context, prediction equations have been useful in reducing physical effort and the time spent performing muscle tests.22,23 The purpose of the present study was to establish, validate, and test the accuracy of a prediction equation to HER muscle torque from a clinical measure of HEX muscle torque in healthy young and older adults.
MethodsParticipantsThe first group (training set) consisted of 83 healthy adult individuals: 41 males and 42 females, mean±standard deviation age of 32.5±11.5 years, body mass of 68.7±12.0kg, height of 1.7±0.1m, and body mass index of 23.7±2.8kg/m2. This sample size was estimated considering power of 80%, alpha of 0.05, and r value of 0.3.24 This group of participants was used to determine the association between HEX and HER torques and to develop the prediction equation.25 Two other groups (validation sets) were assessed to test the ability of the prediction equation to estimate HER torque in a different data set.25 The first validation group (36 adults) was composed of 20 males and 16 females with mean age of 26.7±8.4 years, body mass of 67.2±11.2kg, height of 1.7±0.1 m, and body mass index of 23.7±3.3kg/m2. Finally, a second validation group consisted of 15 older adults (6 males and 9 females) with age of 68.3±5.1 years, body mass of 68.5±16.9kg, height of 1.6±0.1 m, body mass index of 26.6±5.4kg/m2, and score on the Mini Mental State Examination (MMSE) of 28.2±1.7.
The inclusion criteria for all participants were no history of pain, injuries, or surgeries of the lower limbs and trunk in the past six months. In addition, an inclusion criterion specific for adults was age between 15 and 55 years old. Finally, specific inclusion criteria for older adults were a minimum age of 60 years, a minimum MMSE score of 20 for people considered illiterate, 25 for people with one to four years of schooling, 26.5 for those with five to eight years of schooling, 28 for individuals who studied from nine to eleven years, and 29 for those with more than eleven years of schooling.26 Participants were excluded if they reported discomfort or pain during data collection and inability to perform the tests. No participants were excluded. Data from all participants were used in the analyses. All participants signed a consent form approved by the Ethical Research Committee of Universidade Federal de Minas Gerais (UFMG), Belo Horizonte, MG, Brazil (number: 65118017.5.0000.5149).
ProceduresThe isometric strength of the HEX and HER muscles of the dominant lower limb was assessed using a handheld dynamometer (Microfet 2® Draper, USA). Lower limb dominance was defined through the following question: “Which leg would you use to kick a ball as hard as possible?” Initially, an isometric contraction was performed for familiarization followed by three repetitions of five seconds with 30 second interval between repetition. In both tests, participants were told to progressively increase the force in the first three second, followed by verbal encouragement to perform a maximum sustained effort until the fifth second.27 To avoid including values influenced by learning or fatigue, measurements with variations above 10% were repeated.28 The order of the test was randomized. A pilot study with 9 healthy individuals demonstrated excellent intra-examiner reliability for the torque measurements of HER (intraclass correlation coefficient (ICC3,3)=0.92 standard error of measurement (SEM)=0.02Nm/kg) and HEX (ICC3,3=0.79; SEM=0.06Nm/kg). The intra-session reliability was calculated considering the study sample. Excellent intra-session reliability was observed with ICC3,1 of 0.97 (95% confidence interval (CI) of 0.95, 0.98) for adults and 0.98 (95% CI of 0.94, 0.99) for older adults.
To assess HEX strength, the participant was positioned in prone with a wedge placed under the pelvic region to maintain mild hip flexion12 and knee was flexed at 90°. The dynamometer was positioned with a rigid strap near the popliteal fossa. Another rigid strap was used to stabilize the pelvis on the assessment table. The participant was instructed to “push and move your lower limb toward the ceiling”, performing hip extension (Fig. 1A). HER strength was measured with the participant in prone with the hip at 0° flexion to ensure greater participation of the gluteus maximus in hip external rotation,17 with the knee flexed at 90o, and pelvis stabilized by a rigid strap. The dynamometer was positioned by a rigid strap 5cm proximal to the medial malleolus. The participant was instructed to “push and move the leg against the instrument”, performing hip lateral rotation (Fig. 1B). The mean of three valid attempts was considered for analyses. To obtain the torque values, the average value of force was multiplied by the distance between the dynamometer position and the greater trochanter of the femur and the result was normalized by the individual body mass (Nm/kg).
Statistical analysesDescriptive statistics were performed, and the assumptions of normality and homoscedasticity of the residuals were verified by means of Shapiro-Wilk and Levene tests, respectively. The prediction equation was developed using simple linear regression with data from the first group of adult individuals (development set). To improve the robustness and reduce the bias of the estimation provided by the regression coefficients, the bootstrap method was used. The CI extended from the 2.5th percentile to the 97.5th percentile of the 10 000 bootstrapped coefficients. To verify the accuracy of the prediction model, the standard error of estimate (SEE) was computed as the square root of the unpredictable portion, normalized by the degrees of freedom, of the variance in a set of observations; that is:
where yˆ is the predicted HER torque from the regression line; y is the actual HER torque; and n is the number of study participants.To validate the prediction equation two validation samples were selected (adult and older adult groups). We used Pearson correlation coefficient and paired t-test to verify correlation and difference between directly measured and the predicted HER torque values in these groups, respectively. The correlation coefficients were interpreted as follows: small (0.10–0.29), medium (0.3–0.49), and large (>0.5).29 In addition, the level of agreement between directly measured and predicted values was analyzed by the Bland and Altman method for each group. The probability of type I error was established at 0.05. All the analyses were performed using a software package (SPSS Version 20 for Macintosh).
ResultsDescriptive statistics are presented in Table 1 and the results of the linear regression model are shown in Table 2. HEX torque was associated with HER torque (r=0.80; p<0.0001). After 10000 iterations in the bootstrap procedure, the equation established to predict HER torque was:
Hip musculature torque values.
| Development group (n=83) | Adults (validation) (n=36) | Older adults (validation) (n=15) | |
|---|---|---|---|
| HEX torque | 1.52±0.76(1.36, 1.69) | 1.22±0.50(1.03, 1.42) | 0.64±0.31(0.48, 0.79) |
| HER torque | 0.87±0.55(0.75, 0.99) | 0.67±0.42(0.53, 0.81) | 0.39±0.13(0.35, 0.62) |
| Predicted HER torque | – | 0.69±0.34(0.57, 0.80) | 0.34±0.18(0.24, 0.42) |
Data are mean±standard deviation (95% confidence interval) in Nm/kg of body weight. HEX, hip extensors; HER, hip external rotators.
HER torque prediction equation based on HEX torque.
| R | R2 | SEE | F-ratio | p-value |
|---|---|---|---|---|
| 0.80 | 0.64 | 0.33 | 142.47 | <0.0001 |
| b | SE | p-value | 95% CI | |
|---|---|---|---|---|
| Constant | −0.02 | 0.07 | 0.77 | −0.19, 0.11 |
| HEX torque | 0.58 | 0.06 | 0.001 | 0.49, 0.71 |
r, correlation; R2, coefficient of determination; SEE, standard error of the estimate; b, bootstrap unstandardized coefficients; SE, standard error of the coefficient; 95% CI, 95% bootstrap confidence interval; HEX, hip extensors; HER, hip external rotators.
The equation can be interpreted as follows: for each unit increase in HEXtorque, the HERtorque increases by 0.58 units (95% CI: 0.49, 0.71).
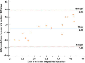
Considering the results about the ability of the equation to estimate HER torque in different data sets (validations group), the paired t-test showed no difference between directly measured and predicted HER torque in adults (mean difference=0.02; 95% CI=−0.115, 0.072) and in older adults (mean difference=0.05; 95% CI=−0.02, 0.12). The Pearson correlation coefficient demonstrated high correlation between the direct and predicted values of HER torques in adults (r=0.76; p<0.0001) and older adults (r=0.70; p=0.003). The Bland–Altman plots (Figs. 2 and 3) show the agreement between measured and predicted values for adults and older adults, with a non-significant bias of 0.015 and −0.012, respectively. All observations were within the limits of agreement defined by x¯residual±1.96 * sdresidual.
The current study was conducted with healthy individuals, who were separated into three groups. The first group composed of adult individuals (development set), was used to develop a prediction equation to estimate the HER torque from a clinical measure of HEX torque. The second and third groups (validation groups) were used to test the ability of the prediction equation to estimate the HER torque in adults and older adults.
The regression analysis showed a strong correlation between HEX and HER torques (r=0.80, p<0.0001). The results demonstrated that 63.8% of the total HER torque variance was explained by the HEX torque. As predicted in the present study, this association was expected due to lever arm and fibers obliquity of the gluteus maximus. Although hip extension and external rotation movements involve other muscles, such as hamstrings and piriformis muscles, the high explained variance (R2) demonstrated the important role of gluteus maximus for these movements.2 Therefore, the strong association observed allowed the proposition of an equation to estimate HER torque. In rehabilitation and sports literature, prediction equations have been used to estimate grip strength,30,31 one repetition maximum during deadlift,32 or bench press.33 To the best of our knowledge, this is the first study that proposed a predictive equation to estimate hip strength.
The high value of the coefficient of determination (R2) and the low error variance in relation to the fitted line demonstrated by the small SEE (0.33Nm) reveal how well the HEX torque predicts HER torque in the development set sample. The predictive ability was tested using two other data sets. Specifically, the prediction equation was used to calculate the HER torque in two different groups (adults and older adults). The results demonstrated that in the cross-validation samples, the directly measured and predicted values of HER torque were not different in adults and older adults. A reduction is expected in the predictive ability of an equation derived from one data set when applied to different data sets.34 However, our results indicate that the predictive ability of the equation remained high when tested in different samples. Thus, these results demonstrate the validity and accuracy of the prediction equation to estimate HER torque by measuring the HEX torque in healthy adults and older adults.
The use of bootstrap resampling with the objective of reducing the bias of estimation and the use of validation in two different data sets are some of the strengths of this study. One validation group was composed of healthy physically active adults, and the other, composed of older adults. These procedures increased the robustness and external validity of the predictive equation.35 Although the prediction equation can be used for young and older adults, a possible limitation of the present study was the assessment of healthy individuals only. In this sense, the use of the equation in individuals with health conditions, such as hip pain or neurological disorders, need be performed with caution. The prediction equation was not validated for individuals with health conditions. However, as hip strength test with handheld dynamometer can be used for individuals with chronic knee pain36 and neurological conditions37 it suggests that the prediction equation obtained may be used for this population. The large sample size assessed in the present study (119 healthy adults) and the fact that the observed torque values are similar to those reported in the literature38 indicate that the absolute maximum torque values for extending and externally rotating the hip joint obtained can be used for future comparisons in clinical and research settings.
Conducting the estimation and validation of prediction equation provide important information for research and clinical practice. Specifically, determining muscular strength using predictive equation has applications for assessing rehabilitation or training success and return to sport or to work, among other objectives.30 The use of a prediction equation to estimate HER torque can reduce the number of tests performed during the physical exam and consequently reduce physical demand on the patient/client and the time spent during evaluation or preseason screening. Future studies should evaluate the responsiveness of the equation to capture changes in HER torque resulting from strength training and if training hip extension results in concomitant increase in hip external rotation strength.
ConclusionThe results of the present study demonstrated a strong association between HEX and HER torques. A prediction equation was accurate and valid to estimate HER torque in adults and older adults, using only the direct torque measurement of the HEX. This equation will allow estimating HER torque without the need of direct measurement performed with a handheld dynamometer.
Conflicts of interestThe authors declare no conflicts of interest.
This study was financed in part by the Coordenação de Aperfeiçoamento de Pessoal de Nível Superior (Finance Code 001) and Conselho Nacional de Desenvolvimento Científico e Tecnológico (403118/2016-6). We are also thankful to the State of Minas Gerais Funding Agency (FAPEMIG) and to the Brazilian Funding Agency CNPq.








