Cancer remains a major global health problem, with multiple treatment modalities generating side effects that can be managed through resistance exercise.
ObjectiveThe objective was to determine the effects of resistance training (RT) on quality of life (QoL), fatigue, and pain in patients undergoing cancer treatment and to determine the prescription of exercise programs.
MethodsWe searched in PubMed, Web of Science, CINAHL and SCOPUS databases for randomized clinical trials (RCTs) of RT in patients with any type of cancer undergoing any cancer therapy. ROB2 and GRADE were used to assess risk of bias and certainty of the evidence, respectively. A random effects meta-analysis and dose-response association were used.
ResultsNineteen RCTs were included (n = 989). For RT programs, 6/14 (42.9 %) trials found improvements in QoL, 8/14 (57.1 %) in fatigue, and 2/4 (50 %) in pain. Meta-analysis indicated a significant difference in favor of RT for fatigue (k = 6, SMD=-0.30, 95 % CI -0.46 to -0.14; p < 0.001) and pain reduction (k = 3, SMD=-0.25, 95 % CI -0.48 to - 0.02; p < 0.032) in breast cancer. Dose-response analysis indicates a maximal effect at a cumulative volume of 2800 total repetitions in reducing fatigue. In prostate cancer, there was a trend in favor of RT for fatigue reduction (p = 0.072). No improvement in QoL was observed. Important exercise variables were under-reported (rest between sets: 21 %, pain threshold: 11 %, therapist experience: 16 %, time under tension: 0 %, and internal/external focus: 0 %).
ConclusionRT provides clinically relevant benefits, particularly in reducing fatigue in breast cancer. Information on program prescription could be significantly improved to provide more transparent and replicable RT protocols.
Cancer remains a major global health challenge, responsible for approximately 10 million deaths and 19.3 million new cases in 2020, mostly breast and prostate cancer, with an estimated 35 million new cases by 2050.1,2 The impact of cancer extends beyond physical health, affecting the psychological and social dimensions of patients' lives.3,4 Multiple treatment modalities, including surgery, chemotherapy, radiation therapy, immunotherapy, hormonal therapy, and androgen deprivation, are essential in cancer management. However, these interventions often cause debilitating side effects, such as fatigue and a significant reduction in quality of life (QoL).5 In response to these challenges, physical exercise has emerged as a promising intervention to mitigate these adverse effects and enhance overall well-being in cancer patients.6
Resistance exercise, which involves activities designed to increase muscular strength and endurance through weights, elastic bands, or body weight, has shown promise as a safe and potentially beneficial intervention for oncology patients.7 This exercise modality may provide significant benefits for fatigue and QoL during chemotherapy.8 Some studies suggest that resistance exercise can reduce fatigue, potentially allowing patients to perform daily activities with more energy and less effort.9 However, the degree to which these benefits occur may depend on specific training variables, underscoring the need for an analysis of the training report.
Resistance exercise may offer various physiological, clinical, and psychological benefits for cancer patients. By potentially increasing muscle mass and strength and reducing fatigue and pain, patients may be able to engage more actively in daily and social activities, improving their mood and overall sense of well-being.10 Although previous reviews have highlighted the benefits of RT in patients undergoing oncologic treatment,11–14 the magnitude and consistency of these benefits, as well as the optimal prescription of exercise variables, remain topics of ongoing research.7 The analysis of dose-response associations is particularly crucial for understanding how the total volume of exercise influences changes in outcomes such as QoL, fatigue, and pain. Despite its importance, many RT protocols lack detailed reporting on key variables, including rest between sets, cognitive modality/attentional focus, pain threshold, tolerability, intensity, time under tension, therapist experience, and adherence assessment.15,16
Therefore, there is a gap in the literature regarding how RT variables have been utilized and adjusted for appropriate prescription in this clinical setting. Understanding the specifics of RT prescription not only enhances future research reporting but also optimizes clinical applications for cancer patients. The primary objective of this study was to determine the effects of RT on QoL, fatigue, and pain, with a particular emphasis on dose-response associations between total exercise volume and outcome changes. Additionally, the secondary objective was to analyze how different exercise variables have been used to prescribe RT in patients undergoing cancer treatment. By addressing both objectives, this study aims to provide insights into refining RT protocols to maximize benefits and improve clinical outcomes for oncology patients.
MethodsProtocol and registrationThis systematic review was conducted in accordance with Preferred Reporting Items for Systematic Reviews and Meta-Analyses (PRISMA)17 and MOOSE reporting guidelines.18 This study was registered in the International Prospective Register of Systematic Reviews (PROSPERO) (register number: CRD42024575962).
Eligibility criteriaTo define the inclusion criteria of the articles, the PICOS model was followed: (i) population: patients aged 18 years or older, male or female, with any type of cancer with or without declared metastasis undergoing surgery, chemotherapy, radiotherapy, hormone therapy, androgen deprivation, and/or immunotherapy for cancer treatment; (ii) intervention: peripheral muscle strength training during cancer therapy; (iii) comparison: usual care; (iv) outcomes: quality of life, fatigue, and/or pain; (v) study design: primary randomized controlled clinical trials (RCTs). Original, peer-reviewed articles written in English or Spanish published were included. The exclusion criteria for this study were: (i) studies that report palliative care for participants (ii) feasibility studies, pilot studies, editorials, letters, reviews and meta-analyses or (iii) preliminary analysis.
Data sources and search strategyMEDLINE (via PubMed), Web of Science, CINAHL and SCOPUS were used to search for articles until January 14, 2024. The search strategy in MEDLINE was: ((((Strength training) OR (strength exercise)) OR (strengthening program)) OR (resistance training)) OR (resistance exercise)) AND (((((((neoplasms) OR (cancer)) OR (tumor)) OR (tumour)) OR (carcinoma)) OR (malignanc*)) Filters: Randomized Controlled Trial. The search strategy used in each database can be found in Supplementary Material, Table S1. In addition, a manual search of the references of the selected articles was performed to identify possible relevant studies.
Study selectionArticles were selected using Rayyan web software (http://rayyan.ai)19 by two independent reviewers (P H-N and J S-M). The titles and abstracts were reviewed to determine potential articles. Then, the inclusion and exclusion criteria were applied to the full text of the potential articles to decide which ones were included. In case of discrepancies between the two reviewers, a third author (R N-C) was consulted to reach a resolution.
Data collectionA standardized table was used to collect the following data: author, year of publication, sample size per group, average age per group, percentage of women per group, and cancer type and stage; concomitant cancer therapy, characteristics of the experimental intervention, control intervention, outcomes and main finding. If data were not provided in the article, attempts were made to contact the authors by email on three occasions.
Another standardized table was used to identify the reporting of resistance exercise protocols according to the Consensus on Exercise Reporting Template (CERT)20 and recommendations from previous studies,15 and to determine the characteristics of the exercise programming implemented. The data extracted were the following: frequency, duration, number of exercise, volume, intensity, inter-set rest duration, time under tension, tolerability or pain threshold, internal or external focus, exercise progression, supervised or unsupervised, exercise equipment, therapist experience, adherence assessment, and adverse events record. Exercise volume, calculated as total repetitions, was subsequently used for the dose-response analysis.
Two reviewers (J S-M and R N-C) extracted data. In case of disagreement, a third reviewer (J C) compared the extracted data and resolved the disagreement by reviewing the articles.
Risk of bias assessmentRisk of bias was assessed by two reviewers (J S-M and R N-C) independently using the Cochrane risk of bias (RoB-2) tool for randomized clinical trials.21 Each domain (randomization process, deviations from intended interventions, missing outcome data, outcome measurement, selection of reported outcome, and overall bias) was rated as “low,” “some concerns,” or “high” risk of bias. A third reviewer P H-N) resolved any disagreements between the two reviewers.
Certainty of evidenceThe certainty of the evidence was assessed by two reviewers (J S-M and R N-C) independently using the Recommendations Assessment, Development and Evaluation (GRADE) approach22 with the online tool GradePRO (https://gradepro.org). The criteria for reducing the certainty of the evidence were as follows: i) limitation of included studies: one level if 25 % or more of the included articles for each outcome were at high risk of bias as assessed by ROB-2; ii) inconsistency: one level if there was high heterogeneity (I2 ≥ 75 %); iii) indirectness: one level if there were differences between participants, interventions, outcome measures or indirect comparisons; iv) imprecision: one level if there was a wide confidence interval, crossed the line of no effect and/or a small sample size (n < 300); v) risk of publication bias: one level if there was asymmetry in the funnel plot. Additionally, between-group effect sizes (Hedges) were calculated using a Microsoft Excel template with built-in formulas based on means and standard deviations.
Data analysisRStudio software (RStudio, PBC, Boston, MA) was used for statistical analysis. The effect of RT on QoL, fatigue, and pain intensity was analyzed using a random-effects meta-analysis. The standardized mean difference (SMD) and 95 % confidence interval (CI) were considered for the analysis for each variable. For the quantitative synthesis, outcomes assessed by 3 or more studies in the same cancer type were included to avoid low-power analyses and clinical heterogeneity. To compensate for the overestimation of Cohen's d in small studies, Hedges' g was adjusted.23 The standard deviation was calculated, using standardized formulas, from the standard error (SE), the 95 % confidence interval (CI), or the p-value of a t-test when studies did not present the standard deviation.21 For consistency, comparisons were aligned in the same direction (e.g., higher score corresponds to greater fatigue). Heterogeneity was analyzed using the I2 statistic. It was considered that heterogeneity between 0–40 % is not important, while between 30–60 % corresponds to moderate heterogeneity, between 50–90 % to substantial heterogeneity, and between 75 %−100 % to considerable heterogeneity.21 The estimated SMDs were interpreted as follows: trivial effect: <0.2; small effect: 0.2–0.6; moderate effect: >0.6–1.2; large effect: >1.2–2.0; very large effect: >2.0–4.0; extremely large effect: >4.0.24 To visualize the effect sizes and CIs from the included studies, along with the calculated summary effect size, forest plots were generated. These plots were generated using the forest() function, which is also available as part of the "metafor" v. 3.0- 2 R package.
Visual inspection of the DOI plots was performed to detect publication bias.25 Additionally, a quantitative measure of the LFK index was also used.26 An LFK index within ±1 represents no asymmetry; an LFK index greater than ±1 but within ±2 represents a small asymmetry; and a LFK index greater than ±2 represents a large asymmetry.26
To assess the dose-response relationship between total exercise volume (i.e. total number of repetitions during the RT program) and changes in outcomes, a one-stage mean difference dose-response meta-analysis was performed.27 Selected effect sizes (ES) and corresponding covariances (SDs) were used to estimate study-specific dose-response curves. The SMD of the within-group changes from baseline to the final measurement for each variable and the total number of exercise repetitions were used as the dose. The dose-response relationship was defined using a restricted cubic spline model with three nodes at the 10th, 50th, and 90th percentiles. The relative efficacy of the dose studied compared to a "zero" dose is characterized by dose-response curves. The procedure has been implemented in the R package dosresmeta.28
ResultsStudy selectionThe database searches yielded a total of 3352 potentially eligible studies and eliminated 1388 articles due to duplicates. After screening articles by title and abstract, 1902 studies were eliminated. All full-text articles were then retrieved, and after applying the inclusion criteria, 42 articles were eliminated due to incorrect study design (n = 7), incorrect population (n = 21), incorrect intervention (n = 9), incorrect outcome (n = 3), and incorrect publication type (n = 2). Ultimately, 19 studies were included in this systematic review8,29–46 (Fig. 1).
Characteristics of the studiesA total of 989 participants were included, of which 56.1 % were women. Eight studies included patients with breast cancer,8,29,30,32,33,41,42,46 1 with lung cancer,30 1 with gastric cancer,30 6 with prostate cancer,31,36,38,39,44,45 1 with glioma,34 1 with nasopharyngeal cancer,35 1 with spinal bone cancer,40 and 2 studies considered several types of cancer.37,43 Most studies that report on cancer stage consider early to late stages. Regarding concomitant therapies, 2 studies considered breast surgery,29,46 12 chemotherapy,8,29,30,32–35,37,40,41,43,46 8 radiation,29,30,34,39,42,43,45,46 3 hormonal therapy,29,40,46 6 androgen deprivation,31,36,38,39,44,45 and 1 immunotherapy.40 Sixteen studies reported QoL,8,29–33,35–39,41,43–46 17 reported fatigue,8,29–35,37–39,41–46 6 reported pain intensity.36–38,40–42 The characteristics of the studies are presented in Table S2.
Exercise variablesRegarding the reporting of exercise protocols, weekly exercise frequency was reported by 18/19 studies (94.7 %), which varied within protocols from 28,29,34,35,37,41,42,46 to 543 days per week. Strength training duration was reported by 19/19 studies (100 %), which ranged from 539 to 24 weeks. Number of exercises was reported in 17/19 (89.5 %), which ranged from 129 to 1036,41,45 exercises. Number of repetitions was reported in 17/19 studies (89.5 %) from 429 to 2041 repetitions and sets in 19/19 studies (100 %) from 138,39,41 to 1030 sets. Exercise intensity was reported in 16/19 (84.2 %) of studies with 14 studies using one repetition maximum (RM)8,29–33,37,38,41–46 to prescribe intensity and two studies using Borg-based perceived exertion.34,39 Rest between sets was reported in 4/19 (21.1 %) and ranged from 134 to 330,43 minutes. No study (0 %) reported time under tension. Pain tolerance or threshold was reported in 2/1938,39 (10.5 %). No study (0 %) reported focus of attention. Regarding exercise progression, 16/19 studies (84.2 %) performed progressive strength training8,29–39,43–46 while the remainder did not provide details. Supervision modality was reported in 18/19 studies (94.7 %). Sixteen studies performed supervised exercise8,29–36,38–41,44–46 1 unsupervised,43 and 1 hybrid.37 Use of exercise equipment was reported in 13/19 studies (68.4 %). One study used elastic resistance bands,43 1 used body weight,39 5 studies used exercise machines,29,35,37,38,41 2 studies used dumbbells,30,36 3 used exercise machines plus dumbbells31–33 and 1 used body weight, resistance bands, and dumbbell barbells.39 Therapist experience in strength training was reported in 3/19 studies30,45,46 (15.8 %). On the other hand, assessment of treatment adherence was reported in 13/19 studies8,29,31–38,44–46 (68.4 %). Finally, regarding adverse events, 12/19 studies (63.2 %) reported recording adverse effects. Seven studies reported no adverse effects8,30–32,39,40,46 and 5 studies reported side effects in a few cases (n = 18, 1.8 % of a total sample), including: nausea, dizziness, weakness, diarrhea33; pain36,38,45; and fatigue, lymphedema, muscle soreness, dyspnea, and tachycardia.37 The exercise variables in the strength training protocols of each study are presented in Table S3 and Figure S1.
Main findingsAmong the 16 studies that reported QoL, 14 included a comparative analysis between groups. Of these, 6 (42.9 %) indicated statistically significant results in favor of the RT group,29,30,35,36,43,44 8 (57.1 %) found no differences between the RT group and the control group.8,32,33,37–39,45,46 Among the 17 studies that reported fatigue, 14 included a comparative analysis between groups. Of these, 8 (57.1 %) found statistically significant results in favor of the RT group,29,30,35,39,43–46 5 identified (35.7 %) no differences between the strength group and the control group,8,32,33,37,38 and 1 (7.1 %) reported statistically significant results in favor of the control group.34 Among the 6 studies that reported pain intensity, 4 performed a comparative analysis between groups. Of these, 2 (50 %) found statistically significant results in favor of the RT group36,40 and 2 (50 %) identified that there were no statistically significant differences between the RT group and the control group.37,38
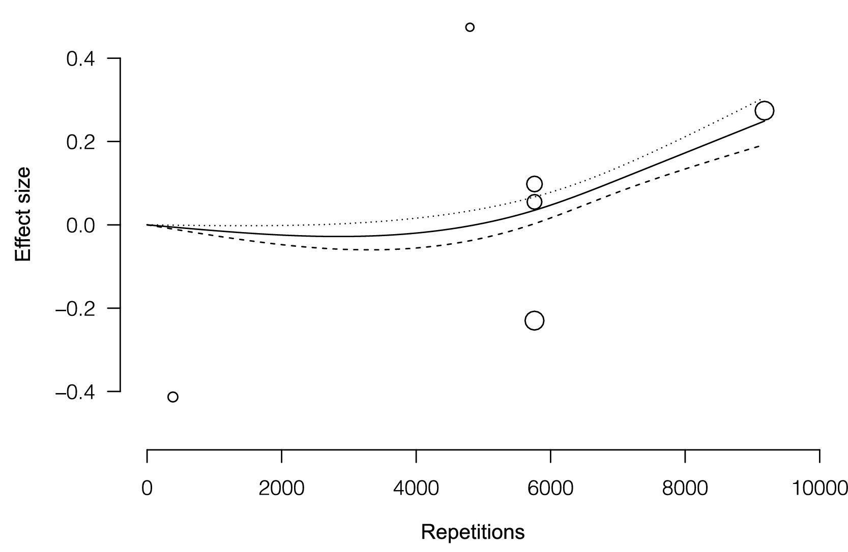
Quantitative synthesisMeta-analyses were only possible for breast and prostate cancers. In patients with breast cancer undergoing breast surgery, chemotherapy, radiotherapy, and/or hormone therapy, a statistically significant difference in favor of RT was found for fatigue reduction (605 participants, k = 6, SMD=−0.30, 95 % CI −0.46 to −0.14; p < 0.001), with a small effect size (Fig. 2). There was no statistical heterogeneity (I2 = 0 %, p = 0.494) and no significant evidence of publication bias (Egger's regression: −1.797, p = 0.072). There was a trend in favor of RT for improvement in QoL, but it was not statistically significant (611 participants, k = 6, SMD=−0.17, 95 % CI −0.03 to 0.36, p = 0.089) (Supplementary material, Figure S2). There was no statistical heterogeneity (I2 = 27.9 %, p = 0.136) and no significant evidence of publication bias (Egger regression: 1.865, p = 0.062). A statistically significant difference in favor of RT was found for pain reduction (302 participants, k = 3, SMD=−0.25, 95 % CI −0.48 to −0.02; p < 0.032), with a small effect size (Fig. 3). There was no statistical heterogeneity (I2 = 0 %, p = 0.879) and no significant evidence of publication bias (Egger's regression: 0.285, p = 0.775). The dose-response relationship between total RT volume and the effect on fatigue showed a J-shape with a maximum effect observed at 2800 repetitions of RT (304 participants, k = 6; SMD −0.028, 95 % CI: −0.057 to 0.001) (Supplementary material table S4, and Fig. 4). For QoL, a linear relationship was observed with a moderate effect at 8800 repetitions of RT (318 participants, k = 6; SMD 0.60, 95 % CI: 0.569 to 0.64) (Supplementary material table S5, and Fig. 5). A dose-response meta-analysis was not possible for pain because of the small number of trials.
Forest plot for effect of resistance training on fatigue in breast cancer. Summary of the results of the included trials comparing resistance training with usual care. The point estimate of the effect size and the sample size are shown in the small boxes with squares. The lines on either side of the box represent a 95 % confidence interval (CI). The interpretation of the SMD estimates was as follows: trivial effect 〈 0.2; small effect: 0.2–0.6; moderate effect: > 0.6–1.2; large effect: > 1.2–2.0; very large effect: > 2.0–4.0 and extremely large effect: > 4.0.
Forest plot for effect of resistance training on pain intensity in breast cancer. Summary of the results of the included trials comparing resistance training with usual care. The point estimate of the effect size and the sample size are shown in the small boxes with squares. The lines on either side of the box represent a 95 % confidence interval (CI). The interpretation of the SMD estimates was as follows: trivial effect < 0.2; small effect: 0.2–0.6; moderate effect: > 0.6–1.2; large effect: > 1.2–2.0; very large effect: > 2.0–4.0 and extremely large effect: > 4.0.
Dose-response association between RT volume and the effect on fatigue. Each study included corresponds to a point estimate. The difference in means corresponds to the change within the group between the baseline and the last measurement. Studies with larger circles contributed more to the overall effect size than other studies. The solid line represents the estimate for the mean difference between baseline and last follow-up, while the dashed lines represent the 95 % CI.
Dose-response association between RT volume and the effect on QoL. Each study included corresponds to a point estimate. The difference in means corresponds to the change within the group between the baseline and the last measurement. Studies with larger circles contributed more to the overall effect size than other studies. The solid line represents the estimate for the mean difference between baseline and last follow-up, while the dashed lines represent the 95 % CI.
In patients with prostate cancer undergoing radiotherapy and/or androgen deprivation therapy, there was a trend in favor of RT for fatigue reduction, but it was not statistically significant (340 participants, k = 4, SMD=−0.20, 95 % CI −0.02 to 0.41, p = 0.072) (Supplementary material, Figure S3). There was no statistical heterogeneity (I2 = 0 %, p = 0.540) and no significant evidence of publication bias (Egger's regression: 0.528, p = 0.598). There was no statistically significant difference in favor of RT for improvement in QoL (341 participants, k = 4, SMD = 0.15, 95 % CI −0.06 to 0.37, p = 0.154) (Supplementary material, Figure S4). There was no statistical heterogeneity (I2 = 0 %, p = 0.969) and no significant evidence of publication bias (Egger's regression: −0.164, p = 0.870). There was insufficient data to perform a meta-analysis for pain outcome. A dose-response meta-analysis was not possible for prostate cancer because of the small number of trials.
Risk of biasFor the overall risk of bias, no study was found to have a low risk of bias, 10.52 % of the studies were categorized as having some concerns, and 89.47 % had a high risk of bias. For the domain of the randomization process, 63.15 % had a low risk of bias and 36.84 % had some concerns. For deviations from the intended interventions, 68.42 % had some concerns and 31.57 % had a high risk of bias.
For the domain of missing outcome data, 84.21 % had a low risk of bias and 15.78 % had a high risk of bias. In the domain of measurement of the outcome, 15.78 % had a low risk of bias and 84.21 % had a high risk of bias. Finally, in the domain of selection of the reported result, 63.15 % had a low risk of bias and 36.84 % had some concerns. The evaluation of each study for each domain using RoB-2 is provided in the Supplementary Material (Supplementary material, Figure S5).
Certainty of the evidenceThe results of the analyses in breast cancer patients indicate that there is low certainty of evidence (downgraded for risk of bias) with small effect size for fatigue and pain intensity, and very low certainty of evidence (downgraded for risk of bias and imprecision) with trivial effect size for QoL. The results of the analyses in prostate cancer patients indicate that there is very low certainty of evidence (downgraded for risk of bias and imprecision) with trivial effect size for fatigue and QoL (Supplementary material, Figure S6).
DiscussionOverall, most included trials showed significant differences in favor of the RT group compared to usual care for fatigue (57.1 % of trials), while the proportion of trials showing significant differences compared to usual care for QoL was lower (42.9 % of trials). For pain intensity, half of the studies reported significant differences in favor of the RT group and half reported no differences between the RT and control groups. None of the individual studies favored the control group over RT. Furthermore, the meta-analysis demonstrates that RT produced a small but significant reduction in pain intensity in patients with breast cancer, highlighting its multidimensional benefits. Regarding fatigue and QoL, the meta-analysis identified a significant effect of RT with a small effect size and a nonsignificant effect, respectively, in people with breast cancer. For patients with breast cancer, the dose-response relationship between total exercise volume and effect on QoL and fatigue was J-shaped and linear, respectively, underscoring the need for precise exercise prescriptions. A maximum effect was observed at 2800 total repetitions for fatigue improvement, while the optimal dose for quality of life was observed at 8800 total repetitions. A trend for an effect of RT on fatigue and non-significant effect on QoL was found in people with prostate cancer (p = 0.072 and p = 0.154, respectively). However, these results should be considered with caution due to the limited number of articles included in the meta-analysis. Furthermore, different cancer treatments (i.e., surgery, chemotherapy, radiation, etc.) may have different effects on the variables analyzed in this study.47–50 Although the importance of resistance training for people undergoing cancer therapy has been recognized, its prescription has not been explored in depth. Our study provides novel information on how RT prescription variables are reported in this population.
Effect of RT on quality of life, fatigue and painOur study is in line with previous meta-analyses that have reported benefits of RT on patients undergoing cancer therapy. McGovern et al.11 found RT to be an effective adjunctive therapy for improving muscle strength and lean mass in cancer patients undergoing chemotherapy and/or radiation therapy. However, this study analyzed the effects of multiple cancer types (e.g., breast cancer, colorectal cancer, head and neck cancer, prostate leukemia, and gastrointestinal cancer) without stratifying by cancer type. Tian et al.12 concluded that RT appears to be a promising approach, compared with stretching exercises and usual care, to improve body composition and physical function in prostate cancer patients to offset their treatment-related side effects. Metcalfe et al.14 reported that RT can improve lower-body strength in patients undergoing chemotherapy (for germ cell cancer, breast cancer, colon cancer, pancreatic cancer, and lymphoma) treatment compared to control, however, they found no improvements in fatigue or QoL, physical function, or upper-body strength. In particular, the fact that the Metcalfe et al. study did not report improvements in fatigue can be explained by the fact that they combined different types of cancer in the meta-analysis. In contrast, our stratified meta-analysis found improvements in fatigue in breast cancer, but not in prostate cancer. In this regard, studies have indicated that improvements in fatigue potentially occur due to improvements in cardiac output, metabolic adaptations, and the recruitment of skeletal muscle motor units.51 However, the results of the fatigue meta-analysis differed depending on the type of cancer patients had, which may be because the level of fatigue may depend on the type of cancer,52 which could influence the effects of RT depending on the baseline level of fatigue. Importantly, dose-response analysis showed a J-shaped association between total exercise volume and the effect on fatigue, reinforcing the importance of considering exercise dosage when designing RT interventions.
Although there was a trend towards improved QoL in both breast and prostate cancer patients, the difference was not statistically significant compared to treatment as usual. This can probably be explained by the multidimensional nature of QoL. However, it is important to note that just over a third of the included studies in total reported improvements in QoL. In addition, the dose-response analysis showed a linear trend, i.e., a greater effect on quality of life with higher exercise volume (total number of repetitions), emphasizing the necessity of optimizing training parameters to achieve meaningful improvements. Thus, improvements in physical function and symptoms due to physical exercise,53–58 could also influence the improvement in the perception of quality of cancer patients.59
On the other hand, our study identified that resistance exercise improved pain intensity in patients with breast cancer. These changes, although small, may be due to multiple factors (involving biological, physical and psychosocial factors).60 For example, although biomarkers were not analyzed in the present study, previous studies in other population have identified that exercise generates a modulation of the endogenous pain inhibition system61 through the release of beta-endorphins and endocannabinoids,62–64 and the inhibition of excitatory neurotransmitters and pro-inflammatory cytokines in pain pathways.65 In addition, a change in behavior and coping with pain has been identified due to the maintenance of physical exercise, which contributes to the decrease in pain intensity.66
Reporting of exercise variablesOur review highlights a critical issue in the field, namely the inconsistent and often incomplete reporting of exercise prescription variables in resistance training protocols for cancer patients. This lack of detailed reporting limits the comparability between studies limits and the translation of research findings into clinical practice. Future studies should prioritize detailed reporting of these variables to enhance the quality and applicability of research in this field.
For example, only 10.5 % of the included studies report a pain threshold or tolerability during exercise. For people with chronic musculoskeletal pain, painful exercises have been reported to have a small but significant short-term benefit over pain-free exercises.67 Nonetheless, this merits further investigation in patients undergoing cancer therapy.
On the other hand, time under tension, understood as the duration of muscular force production, which was not reported by any study, may play an important role in improving strength, as 6 s per repetition has been shown to produce the greatest benefits among older adults.68 Also, there were no studies reporting on the cognitive modality (internal or external focus) used. Internal focus (emphasis on muscle contraction rather than the movement of weight) can increase muscle activity,69 as well as possibly lead to a greater increase in muscle thickness.70 In contrast, external focus (e.g., dual tasks) has been observed to improve muscle endurance.71 Finally, rest time between sets was also poorly reported among the included studies. Although recent research suggests that rest time does not affect variables such as muscle hypertrophy in healthy individuals,72 this particular variable may be of interest due to the fatigue that cancer patients may experience as a result of their treatment. Addressing the identified gaps in exercise prescription reporting is essential for advancing the quality of resistance training interventions. The standardization and systematic reporting of these variables would not only enhance the reproducibility and comparability of clinical trials but also facilitate the design of more precise, patient-centered protocols, thereby strengthening the implementation of evidence-based practice in oncology exercise prescription.
Clinical implicationsClinicians should consider incorporating resistance training into care plans for breast cancer patients, especially when fatigue and pain control are major concerns. In this regard, if the primary orientation is to reduce patients' fatigue status, RT programs that reach 2800 total repetitions throughout the intervention could be considered. On the other hand, if the orientation is to improve patients' quality of life, RT programs reaching 8800 total repetitions should be chosen. This also provides the opportunity to organize the training program in different ways, depending on the patients' possibilities, preferences, and needs, as well as their adaptations. The weekly volume can be progressively increased as these adaptations occur, allowing the objective to be achieved more quickly. For instance, based on the studies included in this review, in order to achieve these objectives, programs of approximately 3–4 sets of 8–20 repetitions, of 3–4 muscle groups per session, performed 2–3 times per week, could be applied. This could be implemented over 12 to 18 weeks of resistance training to reduce fatigue and 18 to 55 weeks for improving QoL.
While our results for prostate cancer patients were not statistically significant, the trend towards improved fatigue suggests potential benefits that warrant further investigation. Clinicians working with prostate cancer patients might consider resistance training as part of a comprehensive care approach, particularly for patients struggling with treatment-related fatigue.
The low rate of adverse events reported in our review suggests that resistance training is generally safe for cancer patients undergoing treatment when properly prescribed and supervised. This safety profile, combined with the potential benefits, makes resistance training an attractive option for improving patient outcomes during cancer therapy.
It's important to note that the optimal implementation of resistance training may vary depending on the specific cancer type, treatment regimen, and individual patient factors. Clinicians should tailor resistance training programs to each patient's needs, capabilities, and treatment schedule. This may involve adjusting exercise intensity, frequency, and duration based on the patient's current health status and treatment side effects.
Furthermore, the integration of resistance training with other exercise modalities, such as aerobic exercise, may offer synergistic benefits when aerobic and RT are combined, the results are more effective in improving QoL.51,73–75 While our study focused specifically on resistance training, a comprehensive exercise program that includes both resistance and aerobic components could potentially address a broader range of patient needs and treatment goals.
Strengths and limitationsThe strengths of this systematic review were: 1) All assessments were self-reported using validated questionnaires, so the subjective components of the responses may reflect participants' self-perception and sense of self-knowledge in the final results. 2) All included studies were randomized clinical trials. 3) Effects were analyzed specifically for cancer types, providing more specific results. This systematic review and meta-analysis has some limitations: 1) There is heterogeneity in the instruments used, which may affect the results due to their psychometric properties.76 2) RT programs present great heterogeneity between studies, so it is not possible to specifically determine which are the best exercises. We considered the information on exercise protocols in the trials to be reliable, and our aim was to analyze adherence to exercise variables as published. 3) The type of cancer also varied widely and there were only enough studies to perform a meta-analysis on breast and prostate cancer. Furthermore, it was not possible to specify the exact stages and type of treatment the cancer patients underwent, which may influence the results; 4) The number of studies included in the analyses was small, which may affect the robustness of the results; 5) Most studies had a high risk of bias, so the individual results of each study affect the pooled analysis; 6) Due to the very low and low certainty of the evidence, future randomized controlled trials need to be of higher quality to provide more robust results; 7) Outcomes included in the analyses are assessed with self-reported questionnaires, creating a subjective component of assessment; and 8) After searching the databases, only English-language studies were included, which could influence the results due to the possible non-inclusion of relevant studies in other languages.
ConclusionsResistance exercise training provides benefits for patients undergoing cancer therapy, particularly in reducing fatigue and pain intensity in breast cancer patients. No significant differences in quality of life were observed in this population. In patients with breast cancer, the dose-response relationship between total exercise volume and effect on fatigue and QoL was J-shaped (2800 repetitions for maximum effect) and linear (8800 repetitions for a moderate effect), respectively. In patients with prostate cancer, there was no significant difference in favour of RT in reducing fatigue and increasing QoL. Despite its benefits, the variables of exercise training prescription are poorly reported. Future research on resistance training for cancer patients should improve reporting on important exercise prescription variables to allow for greater transparency and replicability, as well as demonstrate the effects on other cancer types. This could have clinical implications to improve exercise training programs and comparing different protocols.
FundingThe author(s) received no financial support for the research, authorship, and/or publication of this article.
The authors declare no competing interest.






